 微分した結果の逆を強要される、つらい
 積の微分、合成の微分に対応する方法で
 暗記でなく考えるととんでもないことに
 初等関数の微分は初等関数でも・・・
 連続関数の原始関数は存在はするが・・

 対数の積分はよくでる
 積分テーブルでイメージ
 積分テーブルでイメージ
 n乗は部分で漸化式
 ウオリスの公式

置換積分と見抜く目を
置換積分1型
奇数乗は置換積分1型

置換積分Ⅱ型 x=g(t) 代表例
教科書にある代表的な置換積分Ⅱ型です
できる積分にする置換を考えてサインが
できる積分にする置換を考えてタンゼントが
 重要です
 逆三角関数利用で秒殺です!
 x+1=tと置換後、逆三角関数利用で秒殺だ!
 置換積分Ⅱ型は奥が深い
異なる関数の積と部分積分法
 異なる関数は部分で
 対数の積分は部分でしかも丸暗記
 微分から積分を求める
微分から積分を求める
 2回以上部分積分をするような問題に
 部分積分テーブル法
 定積分での部分積分テーブル法
 部分積分テーブル法の応用例
 円の面積にほかならない
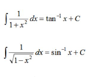
 逆三角関数の微分から
 これって裏技?
 検算にも使える
 大学では常識
 区分求積からの問題としても7頻出
 ちょっとひねられたら
 この事実は知っていないと対応できない
 誘導やヒントがあるので安心して
これも知っていないとできません
積→和差の公式は暗記でなく導き方を覚える
置換変形もできます部分積分がベストです
 合否を分ける重要テーマ
是非マスターしてほしい
|